自然界的燃烧主要有 2 种形式:爆燃和爆震。爆燃燃烧是一种依靠反应区的热扩散与质量扩散而进行的燃烧模式,是缓慢的等压燃烧,燃烧波以亚声速传播。爆震燃烧是在前导激波压缩后,压力陡增,并紧跟剧烈的燃烧反应,燃烧波与压力波耦合以超声速传播,由于燃烧产物未发生膨胀便已完成化学反应,因而接近于等容燃烧。
理想的爆震模型至今仍然是爆震研究的基础。C-J(Chapman-Jouguet)理论将爆震波简化为求解纯流体动力学方程,方程组最小速度解即爆震波的C-J速度,该速度同时也是 Hugoniot曲线上最小熵增点。ZND(Zeldovich、Von Neu⁃mann和Doering)模型则给出了维持爆震波传播的基础理论,即前导激波的绝热压缩对反应物进行诱导并点火,反过来,反应区与燃烧产物中的气体膨胀对未燃气的压缩效应维持着前导激波运动。但爆震波并非一维理想结构,而是由前导激波(或入射激波)、横波和马赫干激波组成的复杂波系,这3个激波的汇合点称为三波点(Triple Point)。当爆震波扫过壁面上的烟膜时,三波点会在烟膜上留下其运动痕迹,形成胞格结构。活性低的混合气,前导激波面光滑,爆震波结构相对稳定,胞格规则且尺寸较大,称为“弱不稳定”爆震。而活性高的混合气,前导激波面皱褶多,爆震波结构更复杂,胞格也不规则,称为“强不稳定”爆震,
预混可燃气中自主传播的爆燃本质上是不稳定的,在点火后趋向于持续加速,但爆震与爆燃不同,爆震一旦起爆,将以相对稳定的速度传播。火焰加速及爆燃爆震转变过程(Deflagration to Detonation Transition,DDT)。DDT 过程包括 5 个阶段,分别为缓慢缓燃阶段、快速缓燃阶段、预爆震阶段、过驱爆震阶段和稳定爆震阶段,进入稳定爆震阶段后,爆震的平均传播速度约为 C-J 速度。DDT 过程是最常用的起爆方法,研究者尝试了很多办法加快 DDT过程,如:在管道壁面设置障碍物、在管道中布置螺旋丝等,爆燃火焰经过时增强其湍流度,可以有效缩短 DDT 的距离。
旋转爆震发动机(RDE)采用 环形燃烧室,推进剂从燃烧 室的封闭端喷入,产生一个 或多个爆震波在燃烧室头部旋转传播, 燃烧产物从另一端高速排出,从而产生推力。爆震燃烧过程接近定容燃烧且 能够实现自增压,因此具有较高的循环 效率,被认为是最有可能替代等压循环 而成为下一代发动机的热力循环方式。 旋转爆震发动机在航天领域可以在火箭 和冲压两种模态下工作,在航空领域可 以与涡轮发动机组合形成旋转爆震涡轮 发动机,具有燃烧速度快、自增压、自 维持、结构简单和效率高等优势。
一种典型连续旋转爆震涡轮发动机如图1所示。该推进系统主要由进气道、压气机、隔离段、旋转爆震燃烧室、混合室、涡轮、尾喷管等部件组成。与常规燃气涡轮发动机的区别在于用旋转爆震燃烧室替代传统等压燃烧室。同时,在爆震室前设置隔离段,防止爆震波前传从而影响压气机的稳定工作,另一方面把压缩空气分成两股,一股进入燃烧室参与燃烧,另一股进入混合室用于掺混。与已有的方案相比,该方案隔离段具有分流作用,并增加了冷却空气与燃气掺混的混合室,使发动机既能获得良好的起爆特性和爆震特性,又能调节涡轮前温度和通过掺混解决爆震燃烧室出口温度分布不均匀的问题。

图1 一种典型连续旋转爆震涡轮发动机
根据旋转爆震涡轮发动机的工作原理,在p-v图和T-s图上其理想热力循环过程如图2所示。其中,0-3代表进入发动机的空气在进气道、压气机、隔离段中的减速增压过程;3-3.1代表压缩空气与燃料在燃烧室中的旋转爆震燃烧过程;3.1-3.5代表爆震后高温高压燃气的等熵膨胀过程;3.5-4表示高焓燃气与压气机出口引气的掺混过程;4-9表示混合气在涡轮和尾喷管中的绝热等熵膨胀过程;9-0为封闭循环而假定的燃气在大气中的等压放热过程。

图2 连续旋转爆震涡轮发动机的理想热力循环过程
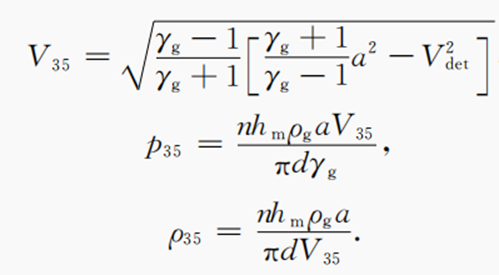
爆震波后的膨胀过程可简化为等熵过程。假定燃烧室出口气流膨胀至声速,则爆震燃烧室出口速度、压力和密度可按照式依次求解,其他参数可由气体动力学方程和状态方程求解。

发动机中工质的物性参数(比热容、比热比等)随温度和气体成分的变化而变化,空气近似简化为21%的氧气和79%的氮气。在建立发动机参数化计算模型时,采用分段变比热法,比热比与温度的关系取为多项式,系数由CHEMKIN-Ⅱ得到。

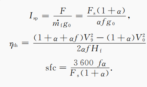
比冲、热效率和耗油率可分别计算如下:

图3给出了当T*4保持不变,CRDTE的性能参数随着πc的变化规律。可见,当πc增大时,发动机的Fs先增大后减小,Isp单调增大,ηth先迅速 增大,然后缓慢增大,当πc很高时,ηth缓慢减小,而由于加热量持 续 减小,同时ηth又维持在相对稳定的高值,所以sfc单调减少。当πc较小时,ηth偏低Fs较小,高温燃气的内能不能有效转化为机械能。此时,增加πc,ηth迅速增大Fs也迅速增加。继续增加πc,压缩空气的总温随之增 大,由于保 持T*4不变,因此爆震燃烧室的加热量和温升减小,导致涡轮落压比增加,喷管落压比的增幅减小,ηth缓慢增加,而显著减少的燃烧室加热量导致Fs明显减小。当πc较高时仍然增加ηth,涡轮消耗的落压比在增压比中的占比更进一步加大,加热量更进一步减少,导致喷管落压比缓慢减少,从而ηth缓慢减少。Fs是由燃烧室加热量和ηth共同决定。当πc较小时,ηth的增大是影响Fs变化趋势的主要原因,因此,Fs随着πc增大而增大,随着πc的不断增大,燃烧室加热量的减小逐渐发挥主导作用,从而Fs随着πc的增大而减小。此外,由Fs和ηth的变化趋势可知,存在使得发动机的Fs和ηth分别取最大值的最佳增压比,并且最大热效率对应的最佳增压比π'opt大于最大比推力对应的最佳增压比πopt

图3 连续旋转爆震涡轮发动机总体性能随πc的变化
爆燃燃烧还是爆震燃烧的发动机都属于燃烧型热机范畴,都是通过燃烧过程把化学能转变热能,再通过流动过程把热能转化为机械能。燃烧型热机主要有2种热-力循环形式:一种是布莱顿循环(Brayton Cycle),即等压燃烧循环,另一种是汉弗莱循环(Humphrey Cycle),即等容燃烧循环。爆震燃烧是在前导激波压缩增压后迅速反应,燃烧产物来不及膨胀,近似于等容燃烧。但实际的爆震波结构很复杂,激波后的燃烧反应区有一定长度,不是严格意义上的等容燃烧。
早期开展爆震热力循环(也称为Fickett-Jacobs Cycle)分析的是Zeldovich,认为虽然爆震循环比等容循环的效率高13%,但考虑到可用燃气能量、各种损失和实际应用难度,不建议发动机采用爆震燃烧循环。他还比较了超声速正爆震冲压发动机和亚燃冲压发动机的性能,由于爆震激波损失,前者的推力比后者小很多。
对等压燃烧循环、等容燃烧循环、爆震燃烧循环进行了理论分析比较,得出的结论多为爆震循环的效率与等容循环相当,大幅高出等压循环效率。

图4 等压、等容和爆震燃烧理想热力循环对比分析
图4给出3种循环的P-V图,从初始状态点1预压缩至状态点2,随后开始燃烧及膨胀过程,最后回到状态点1。图中选取的预压缩量小,即等压循环压力值较低,而爆震循环波后/波前的压比接近10。这与实际情况不相符,因为等压燃烧发动机(除冲压发动机外,其他如火箭发动机、涡轮发动机)经历预压缩后,其状态点2的室压一般不会只有3~5 atm,而同时若爆震循环在经历较强的预压缩后,则可能较难长时间实现10倍的压比,因此3种循环的实际效率差别并不会太大。
选自微信公众号 空天动力技术
©2023 - IDEA SCIENCE Group 版权所有
技术支持:华为云技术京ICP备08012207号 |本站支持
